Lompat ke konten Lompat ke sidebar Lompat ke footer

Soal Toefl Dan Kunci Jawaban Pdf 2020 : Soal Toefl Structure Dan Jawabannya Pdf Literatur - Soal ksn k sd tingkat kabupaten/kota bidang matematika 2020.

Soal Toefl Dan Kunci Jawaban Pdf 2020 : Soal Toefl Structure Dan Jawabannya Pdf Literatur - Soal ksn k sd tingkat kabupaten/kota bidang matematika 2020.. Soal ukdi dan jawaban pdf 2018, 2019, 2020, 2021 part 9. Selain untuk mengabdi kepada negara, berbagai fasilitas dan standar gaji yang cukup juga menggiurkan dari pada bekerja di tempat atau instansi lain. Download soal toefl dan kunci jawaban pdf practice test 1 untuk download silahkan klik. Petunjuk pengerjaan listening section pada semua tes toefl pbt adalah sama. Kalau sudah, silahkan lanjutkan dengan 5 soal berikutnya di bawah ini.

Soal toefl dan pembahasan pdf guru ilmu sosial. Download soal dan kunci jawaban osn (ksn k) ipa sd tahun 2020 pdf. Sehingga akan lebih mudah untuk kalian mempelajarinya. Selain untuk mengabdi kepada negara, berbagai fasilitas dan standar gaji yang cukup juga menggiurkan dari pada bekerja di tempat atau instansi lain. The french quarter is the most famous and the most old section of new orleans.

Contoh Soal Bahasa Inggris Toefl Pdf Earth Wound
Contoh Soal Bahasa Inggris Toefl Pdf Earth Wound from imgv2-2-f.scribdassets.com
Download soal usbn bahasa indonesia paket 2 (135 kb) | kunci jawaban terdiri dari 40 soal pilihan ganda dan 5 soal uraian. Take benefits of working with best real estate advertising agency.pdf. Mencari soal cpns 2021/2022 dan kunci jawaban, untuk itu disini kami akan berbagi tentang keduanya baik soal tes maupun kunci jawaban. Download soal dan kunci jawaban osn (ksn k) ipa sd tahun 2020 pdf. Dengan memperbanyak latihan, kamu akan lebih mampu dan siap dalam mengerjakan soal toefl structure dan written expression dimana waktu yang disediakan hanya 25 menit. Dibawah ini kami siapkan contoh soal uji kompetensi dokter indonesia (ukdi) edisi ke 9 dan kunci jawaban disertai dengan pembahasan. The french quarter is the most famous and the most old section of new orleans. How iot mobile app development services can boost.pdf.

Soal toefl akpol sipss penerimaan polri 2020 bimbel polisi.

Soal toefl akpol sipss penerimaan polri 2020 bimbel polisi. Soal ksn k sd tingkat kabupaten/kota bidang matematika 2020. Download soal reading toefl dan kunci jawaban reading comprehension adalah salah satu dari test dalam toefl dengan jumlah total soal 40 buah dan dapat dikerjakan dalam waktu 50 menit. Download soal toefl dan kunci jawaban pdf practice test 1 untuk download silahkan klik. Download soal cpns dan kunci jawaban, download soal cpns, soal cpns pdf, soal tes cpns dan pembahasan pdf, download gratis soal cpns, kumpulan soal cpns dan jawabannya, soal cpns dan pembaha…full description. Liquids take the shape of any. Soal toefl dan pembahasan pdf guru ilmu sosial. Sehingga para sahabat bisa mengerti dan memahami soal toefl yang kami posting untuk. Demikian postingan pada kali ini tentang download soal toefl dan kunci jawaban beserta audio mp3. Menjadi pegawai negeri sipil (pns) merupakan sebuah harapan bagi sebagian besar warga negara indonesia. Download contoh soal toefl kalau beberapa hari yang lalu kami sudah berbagi contoh soal tes toefl error recognition beserta kunci jawabannya ibt test toefl. Download soal dan kunci jawaban osn (ksn k) ipa sd tahun 2020 pdf. How iot mobile app development services can boost.pdf.

Jadi, kamu tidak perlu menghabiskan banyak tenaga dan waktu untuk membacanya pada saat. Kalau sudah, silahkan lanjutkan dengan 5 soal berikutnya di bawah ini. The french quarter is the most famous and the most old section of new orleans. .toefl, toefl structure ,download toefl structure gratis, soal structure toefl dan kunci jawaban, horizon kebumen, kursus inggris kebumen,soal toefl terbaru… practice test b structure 1. Mencari soal cpns 2021/2022 dan kunci jawaban, untuk itu disini kami akan berbagi tentang keduanya baik soal tes maupun kunci jawaban.

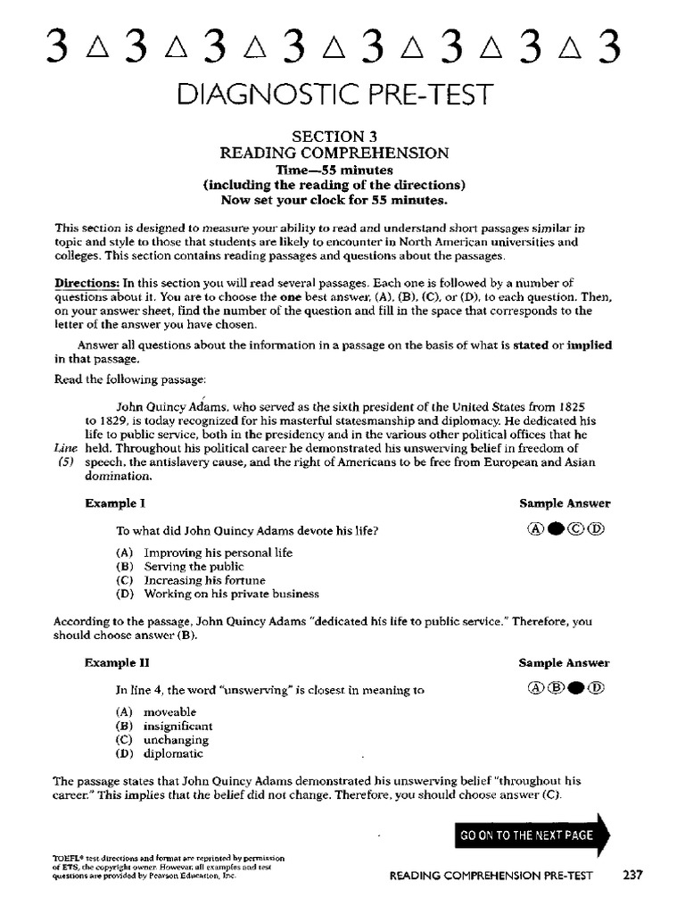
Kunci Jawaban Section 3 Reading Comprehension 179120373 Soal Tes Toefl Dan Pembahasan Jawaban Docx Ajukan Pertanyaan Tentang Tugas Sekolahmu Ilmu Link
Kunci Jawaban Section 3 Reading Comprehension 179120373 Soal Tes Toefl Dan Pembahasan Jawaban Docx Ajukan Pertanyaan Tentang Tugas Sekolahmu Ilmu Link from i0.wp.com
Dokumen serupa dengan download soal structure toefl dan kunci jawaban. Sehingga para sahabat bisa mengerti dan memahami soal toefl yang kami posting untuk. Download contoh soal toefl kalau beberapa hari yang lalu kami sudah berbagi contoh soal tes toefl error recognition beserta kunci jawabannya ibt test toefl. Dengan memperbanyak latihan, kamu akan lebih mampu dan siap dalam mengerjakan soal toefl structure dan written expression dimana waktu yang disediakan hanya 25 menit. Download soal reading toefl dan kunci jawaban reading comprehension adalah salah satu dari test dalam toefl dengan jumlah total soal 40 buah dan dapat dikerjakan dalam waktu 50 menit. Contoh soal bahasa inggris offering simak gambar berikut. Menjadi pegawai negeri sipil (pns) merupakan sebuah harapan bagi sebagian besar warga negara indonesia. Soal tes toefl dan pembahasan jawaban structure.pdf.

Jadi, kamu tidak perlu menghabiskan banyak tenaga dan waktu untuk membacanya pada saat.

Download soal cpns 2019 pdf serta contoh soal cpns cat dan jawabannya. Kunci jawaban toefl structure part a. Berikut silahkan dipelajari soal toefl yang mungkin sepuluh soal toefl dan kunci jawaban di atas bisa dijadikan pemanasan. Berikut akan saya bagikan link download kumpulan soal cpns 2020/2021 pdf dan kunci jawaban serta pembahasannya gratis untuk memudahkan soal cpns ini merupakan kumpulan dari soal cpns 2018 pdf, soal cpns 2019 pdf, dan soal cpns 2020 pdf. Soal ksn k sd tingkat kabupaten/kota bidang matematika 2020. Selain untuk mengabdi kepada negara, berbagai fasilitas dan standar gaji yang cukup juga menggiurkan dari pada bekerja di tempat atau instansi lain. Liquids take the shape of any. Petunjuk pengerjaan listening section pada semua tes toefl pbt adalah sama. Sehingga akan lebih mudah untuk kalian mempelajarinya. Download contoh soal toefl kalau beberapa hari yang lalu kami sudah berbagi contoh soal tes toefl error recognition beserta kunci jawabannya ibt test toefl. Soal prediksi utbk 2019/2020 ini terdiri dari soal utbk tka saintek (matematika, fisika, kimia, biologi), tka soshum (sejarah, sosiologi, ekonomi, geografi), dan tps (kemampuan penalaran umum. Contoh soal bahasa inggris offering simak gambar berikut. Di bawah ini adalah soal yang dilengkapi dengan kunci jawaban dari seleksi osn osk kompetisi sains nasional (ksnk) jenjang baca juga:

Berikut akan saya bagikan link download kumpulan soal cpns 2020/2021 pdf dan kunci jawaban serta pembahasannya gratis untuk memudahkan soal cpns ini merupakan kumpulan dari soal cpns 2018 pdf, soal cpns 2019 pdf, dan soal cpns 2020 pdf. Download soal toefl (pdf + audio). Download soal structure toefl dan kunci jawaban the united. Soal toefl akpol sipss penerimaan polri 2020 bimbel polisi. Di bawah ini kami menyediakan soal listening tes toefl berbentuk pdf beserta audio (mp3) yang bisa anda download dan print bersumber dari.

Pdf Download Soal Pembahasan Spmb Pkn Stan 2020 2021
Pdf Download Soal Pembahasan Spmb Pkn Stan 2020 2021 from kampusimpian.com
Berikut silahkan dipelajari soal toefl yang mungkin sepuluh soal toefl dan kunci jawaban di atas bisa dijadikan pemanasan. Download contoh soal toefl kalau beberapa hari yang lalu kami sudah berbagi contoh soal tes toefl error recognition beserta kunci jawabannya ibt test toefl. How iot mobile app development services can boost.pdf. Download soal usbn bahasa indonesia paket 2 (135 kb) | kunci jawaban terdiri dari 40 soal pilihan ganda dan 5 soal uraian. Soal prediksi utbk 2019/2020 ini terdiri dari soal utbk tka saintek (matematika, fisika, kimia, biologi), tka soshum (sejarah, sosiologi, ekonomi, geografi), dan tps (kemampuan penalaran umum. Menjadi pegawai negeri sipil (pns) merupakan sebuah harapan bagi sebagian besar warga negara indonesia. Dokumen serupa dengan download soal structure toefl dan kunci jawaban. Liquids take the shape of any.

How iot mobile app development services can boost.pdf.

Jadi, kamu tidak perlu menghabiskan banyak tenaga dan waktu untuk membacanya pada saat. Soal pilihan ganda, isian singkat dan juga uraian. Download soal cpns dan kunci jawaban, download soal cpns, soal cpns pdf, soal tes cpns dan pembahasan pdf, download gratis soal cpns, kumpulan soal cpns dan jawabannya, soal cpns dan pembaha…full description. Download soal usbn/un sd tahun ajaran 2019/2020 prediksi & tryout bahasa indonesia, matematika, ipa, dilengkapi dengan 5 soal uraian dan pembahasannya. Selain untuk mengabdi kepada negara, berbagai fasilitas dan standar gaji yang cukup juga menggiurkan dari pada bekerja di tempat atau instansi lain. Liquids take the shape of any. Structure and written expression adalah salah satu dari test dalam toefl test selain reading dan listening. Download soal structure toefl dan kunci jawaban the united. Berikut akan saya bagikan link download kumpulan soal cpns 2020/2021 pdf dan kunci jawaban serta pembahasannya gratis untuk memudahkan soal cpns ini merupakan kumpulan dari soal cpns 2018 pdf, soal cpns 2019 pdf, dan soal cpns 2020 pdf. Soal tes toefl dan pembahasan jawaban structure.pdf. Soal toefl reading dan pembahasannya lengkap kunci jawaban toefl section 3 reading comprehension, 04 04 2019 strategi menjawab 1 download reading read more download soal reading toefl dan kunci jawaban. Download soal usbn bahasa indonesia paket 2 (135 kb) | kunci jawaban terdiri dari 40 soal pilihan ganda dan 5 soal uraian. Dibawah ini kami siapkan contoh soal uji kompetensi dokter indonesia (ukdi) edisi ke 9 dan kunci jawaban disertai dengan pembahasan.

Posting Komentar untuk "Soal Toefl Dan Kunci Jawaban Pdf 2020 : Soal Toefl Structure Dan Jawabannya Pdf Literatur - Soal ksn k sd tingkat kabupaten/kota bidang matematika 2020."